高等数学之二重积分计算方法总结
高等数学之二重积分计算方法总结
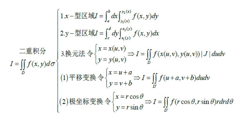
在考研中,对于二重积分重点要掌握二重积分的计算方法(直角坐标,极坐标),二重积分计算公式如下:

二重积分的计算主要在于把二重积分化为累次积分计算,而在化为累次积分计算时,坐标系的选择不仅要看积分域D的形状,而且还要看被积函数的形式。
(1)适合用极坐标计算的二重积分被积函数一般应具有以下形式:
f(y/x),f(x/y),f((x^2+y^2)^(1/2))
之所以适合极坐标是由于它们在极坐标下都可化为r或thetha的一元函数。
(2)适合用极坐标计算的二重积分的积分域一般应具有以下形状:
中心在原点的圆域,圆环域或它们的一部分(如扇形);中心在坐标轴上且边界圆过原点的圆域或者它们的一部分。
有时在计算二重积分时候需要利用被积函数的奇偶性和积分区域的对称性,常用的结论有以下两条:
(1)利用积分域的对称性和被积函数的奇偶性:

(2)利用变量的对称性:

题型一:在直角坐标下计算二重积分
例1:

解题思路:先画积分域D,不难看出该积分域关于两个坐标轴都对称,被积函数也有奇偶性,因此,应利用对称性和奇偶性。
解:

题型二:利用极坐标计算二重积分
例2:

解题思路:积分区域D关于y轴左右对称,被积函数(x+1)^2=x^2+2x+1,其中2x是x的奇函数,x^2+1是x的偶函数,先利用奇,偶性化简,然后再用极坐标计算。
解:

标签:
